Les cookies utilisées servent au fonctionnement de notre site Internet, ainsi qu'à analyser sa fréquentation.
En aucun cas il ne garde des données personnelles.
Tout savoir sur les cookies

Les Coteaux Périgourdins

  • Accueil
    • L'Actu des Coteaux
    • En image
    • Presse
  • Notre territoire
    • Présentation
    • Histoire
    • Patrimoine
  • Mairie
    • Elus
    • Employés & Services administratifs
    • Documentation
    • Syndicats
  • Infos publiques
  • Ecole et jeunesse
    • Assistantes maternelles
    • Ecole & RPI
    • Collège & Lycée
    • Centre aéré
  • Entreprises
    • Commerces
    • Services
    • Entreprises & Artisans
    • Productions agricoles
    • Santé & Bien-Etre & Médecine naturelle
    • Hébergement & Restauration
  • Vie associative
    • Loisirs & Société
    • Parents d'élèves & Enfance
    • Culture & Patrimoine
    • Sport & Bien-Etre
    • Chasse & Pêche
Services-Administratif-Tarifs
Les syndicats


Comptes-rendus du Conseil Municipal
Bulletins municipaux
Arrêtés municipaux et préfectoraux
Compte administratif

Documentation

05 53 51 08 61
mairie-les-coteaux-perigourdins@orange.fr


Comptes-rendus du Conseil Municipal.


Le dernier:
31 mars 2026


20 mars 2026


9 mars 2026

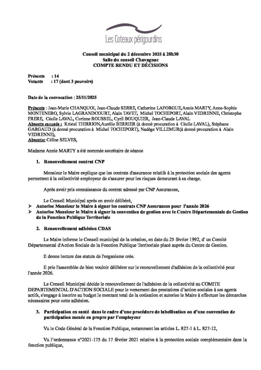
2 décembre 2025.  


15 Septembre 2025

10 juin 2025


25 mars 2025

13 février 2025

19 novembre 2024


10 septembre 2024

19 juin 2024


29 avril 2024

14 mars 2024


17 janvier 2024

21 novembre 2023


26 septembre 2023

22 juin 2023

Les comptes-rendus précédents sont à votre disposition en mairie.


Arrêtés municipaux, départementaux et préfectoraux.


> ARRETES MUNICIPAUX

Le dernier.

Route des Murailles barrée.


Route de Grèzes limitée à 30 km/h.

Autorisation pour l'ouverture au public de la tour.

Divagation des chiens et des chats


> ARRETES PREFECTORAUX et DEPARTEMENTAUX

Le dernier.
Brûlage
- 27 février 2026.


Avis de passage du géomètre

Bruits de voisinage

Commune nouvelle


Brûlage et incinération

Bulletins municipaux


> A PARTIR DE 2017 - Les Coteaux périgourdins.

Janvier 2026.



2021


2022

2023

2024


2025

0000

> Avant 2017 - Chavagnac.

1987

1989

1996

1997

1998

1999

2002

2004

2005

2006

2009

2010

2011

2012

2013

2014


> Avant 2017 - Grèzes.

2015

2016

XXXX

XXXX

2013

2014

2015

2016


Compte administratif


LE COMPTE ADMINISTRATIF DES COTEAUX PERIGOURDINS
SERA MIS EN LIGNE
DES QU'IL SERA VOTE PAR LE CONSEIL MUNICIPAL

Définition du compte administratif

Le compte administratif retrace l’ensemble des mandats et des titres de recettes d’une collectivité locale; il indique donc l'ensemble des recettes et des dépenses de l'année écoulée. Il est divisé en deux sections.

La section de fonctionnement retrace toutes les opérations de dépenses et de recettes nécessaires à la gestion courante et régulière de la commune, celles qui reviennent chaque année. Par exemple, en dépenses : les dépenses nécessaires au fonctionnement des services de la commune, les prestations de services extérieurs comme les charges d'entretien, les autres charges de gestion courante, le paiement des intérêts des emprunts.

La section d’investissement présente les programmes d’investissements nouveaux ou en cours. Elle retrace les dépenses et les recettes ponctuelles qui modifient de façon durable la valeur du patrimoine comme les dépenses concernant le remboursement des capitaux empruntés, les acquisitions immobilières ou les travaux nouveaux. Parmi les recettes d'investissement, on trouve généralement les recettes destinées au financement des dépenses d'investissement, comme par exemple les subventions d'investissement, la dotation globale d'équipement (DGE), les emprunts, le produit de la vente du patrimoine... La section d’investissement est par nature celle qui a vocation à modifier ou enrichir le patrimoine de la collectivité.

Le compte de gestion est confectionné par le Receveur municipal, comptable direct du Trésor (ex percepteur), qui est chargé en cours d’année d’encaisser les recettes et de payer les dépenses ordonnancées par le maire. Le compte de gestion doit parfaitement concorder avec le compte administratif.

haut de page


PLAN DU SITE  / Mentions légales  /  Protections des données

Accueil

•En images
•La Presse

Notre territoire

•Présentation
•Situation géographique
•Dordogne
•Communauté de Communes
•Histoire
•Patrimoine
• Local

Mairie

•Les élus
•Délégations extérieures
•Commissions municipales

Services administratif & Tarifs.
•Les employés municipaux
•Démarches administratives
•Tarifs

Documentation.
•Comptes rendus du CM
•Arrêtés
•Bulletins municipaux
•Compte administratif

Les Syndicats.
•Syndicat des Energies
•Syndicat d'A.E.P.
•SIRTOM
•SIVOS

Infos publiques

École & jeunesse

•Assistantes maternelles
•École & RPI
•Collège & Lycée
•Centres aérés

Entreprises

•Commerces
•Services
•Entreprises & Artisans
•Productions agricoles
•Santé & Bien-Etre & Médecine naturelle
•Hébergement & Restauration

Vie associative

•Loisirs & Société
•Parents d'élèves & Enfance
•Culture & Patrimoine
•Sport & Bien-Etre
•Chasse & Pêche

Les Coteaux Périgourdins

https://www.lescoteauxperigourdins.fr
Conception site 2016 / Révision Responsive 2024 : Eric Solé // Administration : Alain Tavet
Crédit photos : Eric Solé et contributeurs